
누출등급
▣ 연속 누출등급의 누출원
- 대기와 연결된 고정 통기구(vent)가 설치된 고정 지붕탱크(fixed roof tank) 내부의 인화성 액체 표면
- 지속적 또는 장시간 대기에 개방된 인화성 액체 표면
- 고빈도의 누출도 포함
▣ 1차 누출등급의 누출원
- 정상작동 중 인화성 물질의 누출이 예상되는 펌프, 압축기 또는 밸브의 밀봉부(seals) 등
- 정상작동 중 배수과정에서 인화성 물질이 대기로 누출될 수 있는 용기의 배수점 등
- 정상작동 중 인화성 물질의 누출이 예상되는 시료 채취점
- 정상작동 중 인화성 물질의 누출이 예상되는 릴리프 밸브, 통기구 및 기타 개구부 등
▣ 2차 누출등급의 누출원
- 정상작동 중 인화성 물질의 누출이 예상되지 않는 펌프, 압축기 및 밸브의 밀봉부(seals) 등
- 정상작동 중 인화성 물질의 누출이 예상되지 않는 플랜지, 연결부(connections), 배관 피팅부(pipe fittings) 등
- 정상작동 중 인화성 물질의 누출이 예상되지 않는 시료 채취점
- 정상작동 중 인화성 물질의 누출이 예상되지 않는 릴리프 밸브, 통기구 및 기타 개구부 등
누출등급의 평가
▣ 일반사항
- 누출등급의 잘못된 평가는 전체 EHA 구분 결과 왜곡 가능
- 각 누출등급(연속,1차,2차)은 정의되어 있으나 실제 구분하는 것은 쉽지 않음
▣ 전제조건
- 정상 작동상태에서 발생되지 않는 모든 누출은 2차 누출등급으로 간주, 예측주기 무시
- 2차 누출등급은 누출이 아주 짧은 시간 동안만 일어난다는 가정 필요
- 즉, 누출현상 발생 즉시 누출을 감지하여 가능한 한 빠른 대응조치 가능 전제
- 이러한 가정은 장치와 설비의 정기적인 관리 및 정비 문제로 이어짐
▣ 누출등급 평가
- 제조자의 지침서, 관련 규정 및 프로토콜과 엔지니어링 지침 등에 따라 합리적인 방법으로 장비와 설비의 감시와 검사가 실시된다는 신중한 고려와 가정 바탕으로 실시
누출 요약
하나 이상의 누출원이 존재하는 실내에서, 폭발위험장소의 종류(type) 및 범위를 정하기 위해서는 희석등급 (degree of dilution) 및 배경 농도(background concentration) 결정하기 전에 모든 누출원에 대한 합산이 필요
가. 연속 누출등급 : 항상 누출이 이루어지는 것은 아니지만, 모든 연속 누출등급 포함
나. 1차 누출등급
- 정상 작동상태에서 일어나지만, 모든 누출원이 동시에 누출되지 않음
- 설비에 대한 지식과 경험을 통해 최악의 조건에서 동시에 발생할 수 있는 최대수 결정
다. 2차 누출등급 : 정상작동 상태에서 누출되지 않으므로 하나 이상의 누출원이 동시에 발생할 가능성이 거의 없다고 할 경우, 가장 큰 2차 누출원만 고려
▣ 누출원의 합산
누출원을 합산하는 예측 가능한 활동에는 운전조건의 자세한 분석을 기본으로 한다.
- 전체 연속누출 = 모든 개별 연속 누출원의 합
- 전체 1차 누출 = 모든 연속누출 + 일부 개별 1차 누출원의 합 (동시 누출)
- 전체 2차 누출 = 모든 1차 누출 + 가장 큰 개별 2차 누출원 (모든 누출원이 아닌 가장 큰 개별 2차 누출원 고려)
누출공의 크기 및 누출원 반경
▣ EHA 설정 시 가장 중요한 인자 : 누출공의 반경
가. 인화성 물질의 누출률과 폭발위험장소의 형태 및 범위 결정
나. 누출률(Wg)은 누출공의 반경의 제곱에 비례
- 노출공 반경의 과소평가 : 누출률의 중대한 과소평가
- 누출공 반경의 과대평가 : 안전상의 이유로 허용되는 누출 구멍 크기의 보수적 계산은 과대한 위험장소 범위로 나타날 수 있기 때문에 제한 및 누출 구멍 크기 추정의 신중한 접근
▣ 방출계수 (Cd)
- 누출 구멍 반경이라는 용어를 사용하지만 의도하지 않은 대부분의 누출 구멍은 원형 아님
- 동일한 면적의 비원형 누출부위의 누출률을 보정하기(줄이기) 위해 방출 계수로 보상
▣ 누출공 반경 정의
- 연속/1차 누출등급 : 누출 오리피스의 크기와 형태로 결정 (비교적 예측 가능한 조건하에서 가스가 누출되는 다양한 통기구와 통기밸브)
- 2차 누출등급 : 아래표

▣ 누출의 형태

누출률 : 영향인자
▣ 누출 특성 및 형태
- 개방 표면 및 플랜지 누설 등과 같은 누출원의 물리적인 특성에 관한 것임
▣ 누출 속도
- 누출원이 존재하는 경우에 누출률은 누출압력에 증가
- 아음속(음속 이하) 누출에서 누출속도는 공정압력과 관련
- 인화성 가스/증기 운의 크기는 인화성 증기의 누출률과 희석률에 의하여 결정
- 고속 누출 가스/증기 흐름은 공기와 혼합되어 자체적으로 희석될 수 있으나, 폭발성 가스 분위기 범위는 공기 흐름과 관련 없음
- 인화성 물질의 저속 누출 또는 장애물에 부딪쳐 속도가 감소되는 경우는 공기 영향/흐름에 따라 이동 희석
▣ 농도 : 누출된 인화성 물질의 질량은 누출된 혼합물 내의 인화성 증기/가스의 농도에 비례
▣ 인화성 액체의 휘발성
- 증기압과 증발 엔탈피(열)와 주로 관련되며, 증기압이 알려지지 않은 경우 비점 또는 인화점 사용 가능
- 폭발위험 분위기는 인화점이 인화성 액체의 최고 사용 온도보다 높으면 존재 불가
- 인화점이 낮으면 낮을수록 폭발 분위기의 범위는 증가
- 인화성 물질이 안개(분무) 형태로 누출된다면, 폭발분위기는 인화점 이하에서도 형성 가능
- 할로겐화 탄화수소 등은 폭발성 가스 분위기를 생성할 수 있음에도 불구하고 인화점을 가지지 않는데, 최저 인화하한에서의 포화농도에 상응하는 등가 액체 온도를 최대 액체온도와 비교
▣ 액체 온도 : 온도 증가에 따라 증기압 상승 => 증발로 인한 누출률 증대
- 액체의 온도는 고온의 표면이나 외기 온도에 따라 누출이 발생하고 나서부터 상승할 수 있음
- 증기화는 인가된 에너지와 액체의엔탈피에 기초한 등가조건에 도달할 때 까지 액체를 냉각시키는 경향이 있음
누출률의 추정
▣ 누출률 계산식
- 인화성 액체와 가스의 대략적인 누출률 제공
- 보다 정리된 누출률은 개구부의 특성 및 액체/가스의 점도를 고려하여 추정
- 누출 개구부의 길이가 폭에 비해 긴 경우 점도의 영향이 큼(누출계수 Cd를 통해 보정)
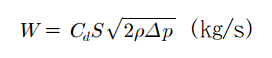
▣ 액체의 누출률

W:액체의 누출률(kg/s), Cd:누출계수, s:개구부면적(㎡), p:액체밀도(kg/㎥), △p:압력차(Pa)
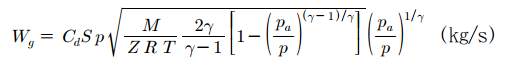
▣ 가스/증기의 누출률

Pc: 입계압력(Pa), r:비열계수(-)
▣ 아음속 누출률
아음속 가스속도는 가스가 음속 미만의 속도로 누출되는 속도를 말하며, 이때의 용기의 가스 누출률은 다음과 같다

▣ 음속 누출률
음속 누설가스는 가스 속도가 음속인 것을 말하며, 이론적으로 최대 누출속도이며, 가스속도가 음속과 같다면, 용기에서의가스 누출률은 다음과 같다

증발 풀(pool)의 누출률
▣ 증발 풀
- 액체 누출의 경우 누출률이 아닌 증발률을 적용하여 희석등급 결정
- 액체의 유출(spillage)과 누출(leakage)의 결과뿐만 아니라,
- 개방된 용기에서 또는 인화성 액체의 저장 또는 취급하는 공정설비에서도 발생할 수 있음
▣ 증발률 계산 관련 가정
- 대기온도에서 상변화 및 플름(plume)이 없음(상과 온도변화는 분산 및 증발률 변화의 원인)
- 누출된 인화성 물질은 중립부력(neutrally buoyant) 상태(공기보다 무거운 증기 포함)
- 다량의 연속 누출의 경우는 고려하지 않음
- 용기에서의 누출 액체는 즉시 1cm 깊이의 풀(pool)로써 평평한 표면 형성 및 대기 중 증발
▣ 증발률

We:증발률(kg/s), uw:풍속(m/s), Ap:액표면적(㎡), Pv:증기압(KPa)
▣ 부피 증발률


▣ 풀면적과 풍속
- 실제 풀면적은 유출된 액체의 양 기준으로 하고 유출지역 경사나 둑과 같은 현장조건 고려
- 증발률 평가에서 풍속은 희석등급 추정을 위한 차후의 풍속과 일치
- 풍속은 증발을 가속시키지만 인화성 가스/증기 희석에도 기여함을 강조
- 0.5 m/s 의 풍속은 기상학적으로는 지면 위가 잔잔함을 나타내며, 분산 및 증발에 있어서도 가장 나쁜 경우의 풍속임
액체의 부피(체적) 증발률

누출원의 개구부
구역 사이의 개구부는 누출원으로 간주하고, 누출등급은 다음을 고려한다
- 인접구역 위험장소의 종별, 개구부 열림 주기의 빈도와 지속 시간
- 밀봉/연결 부분의 유효성, 관련 구역 사이의 압력차
개구부의 분류
▣ A형 (B, C, D형으로 규정되지 않는 개구부)
- 접근 또는 유틸리티용 개구부 통로(덕트 또는 배관용 유틸리티 등)
- 빈번하게 개방되는 개구부 및 건물, 개구부내의 고정된 환기구
▣ B형
- 상시 닫혀 있어(자동 닫힘) 드물게 열리고, 완전 밀착 폐쇄되는 개구부
▣ C형
- 상시 닫혀 있어 드물게 열리고, 개구부 전체 둘레가 개스킷 등으로 밀봉되는 개구부
- 독립적인 자동 닫힘 장치가 있는 B형 개구부 2개가 직렬로 연결된 개구부
▣ D형
- 유틸리티 통로와 같이 효과적으로 밀봉되는 개구부, 비상시 열리는 C형 충족 상시 닫힘 개구부
- 폭발위험장소에 인접한 하나의 C형 개구부와 직렬로 연결된 하나의 B형 개구부
누출원으로 고려되는 개구부에 대한 폭발위험장소 종별의 영향


'Technical > 방폭기술설비' 카테고리의 다른 글
| 폭발위험장소 관계 법령 및 기준 (79) | 2023.12.30 |
|---|---|
| 분진폭발 방지 대책 (66) | 2023.12.26 |
| 폭발 위험장소 표현 방법 (1) | 2023.06.10 |
| 폭발위험장소의 범위 (1) | 2023.06.10 |
| 폭발위험장소의 종별(Type- 0종/1종/2종/비위험장소) (2) | 2023.06.06 |
댓글